All published articles of this journal are available on ScienceDirect.
Deficit Irrigation on Fruit Yield and Quality of Sweet Pepper
Abstract
Background:
Deficit irrigation is an approach to use less water in crop growth in places where water resources are the limiting factor for agricultural production, to maximize the production per unit of volume of water available.
Objective:
The study aimed to evaluate the effect of four levels of irrigation applied to replenish soil moisture depletion on the growth and yield of two sweet pepper cultivars.
Methods:
The experiment was performed on field conditions from January to June 2020 in a randomized block experimental design with three repetitions arranged in divided plots, the main plot was the four irrigation depths, and the sub-plots were the two cultivars (Tres Filos and Pepón) for a total of eight treatments. The irrigation depths applied corresponded to 60%, 80%, 100%, and 120% of the crop evapotranspiration.
Results:
The ANOVA (analysis of variance) of the main factors indicates that for the irrigation treatment factor, the number of fruits per plant for the two varieties is statistically equal when irrigation is applied at 120, 100 and 80% of the crop evapotranspiration (ETc) and greater than the one obtained with irrigation at 60% of ETc. For the cultivars factor, the number of fruits per plant and the fruit yield (g plant-1) in the different irrigation treatments was higher in the cv Tres Filo, but the weight of the fruit was higher in the cv Pepón.
Conclusion:
The application of irrigation at 60% of the ETc represents a saving of 40% of the volume of water compared to the application at 100% of ETc. The reduction in the number of fruits per plant, fruit weight, and average yield (g plant-1) of both cultivars was only 4.21%, 7.47%, and 11.95%, respectively. Therefore, if the limiting factor for agricultural production is water availability, it is advisable to irrigate at 60% of the ETc and increase the surface for irrigation to increase total production.
1. INTRODUCTION
Sweet pepper (Capsicum chinnense Jacq.) is a vegetable widely used in culinary food. Its typical fragrance and flavor make it more preferred than Capsicum (Capsicum annuum) in the home preparation of stews, sauces, and soups. In addition, it is used in preparing packaged sauces and is potentially a product that can be dehydrated and ground to be used as a condiment [1, 2]. The sweet pepper (Capsicum spp.) belongs to the Solanaceae family, and the genus includes more than 30 species, five of which (C. annuum, C. chinense, C. baccatum, C. frutescens, and C. pubescens) are domesticated and cultivated for consumption [3]. Pepper is the fifth most important vegetable in the world for its nutritional value and economic importance [4]. The sweet pepper belonging to the Capsicum chinense species is known for the pungency of its fruits, especially the habanero pepper. C. chinense is a species native to the Amazon River basin and includes non-pungent types; and has great genetic diversity in South America with great genetic variability in Venezuela (considered a center of diversity). It is called sweet pepper because it does not have pungency [5]. The average world production from 2016 to 2020 was 36.1 million tons of fresh pepper. China and Mexico are the largest producers, with 16.6 and 3.09 million tons per year, respectively. Venezuela has three local materials: Rosita, Pepón, and Llanero pepper, with a production of 138 thousand tons of fresh pepper in a harvested area of 10 342 ha and an average yield of 13 368 kg ha-1 [6].
Water is the most important resource for agriculture, and its availability has decreased appreciably in the last decade [7-9]. As the population increases, the problem worsens as water demand increases in the cities, industry, and agriculture. The water deficit affects the yield and quality of fruits and vegetables. Generally, producers do not measure soil moisture or determine crops' daily evapotranspiration rate for irrigation. Therefore, agricultural water use efficiency is usually low. Previous studies conducted in Venezuela have shown that sweet pepper plants can produce from 0.5 kg to 1 kg per plant, depending on the crop and growing conditions [10]. Under rainfed conditions, the fruit yield varies from 8 to 10 t ha-1, while under irrigation, the potential fruit yield varies from 12 to 20-ton ha-1 [1, 10]. Conventionally, irrigation is applied to avoid low crop yields due to water deficit [11]. For farmers with high technical capabilities, irrigation is applied to obtain the highest yields and fruit quality [12]. Well-irrigated crops have enough water to fulfill the evapotranspiration (ET) demand throughout the growing cycle. Under low water availability conditions, the irrigation applied is insufficient to provide the need for evapotranspiration from the atmosphere; consequently, the plants have reduced growth with low yields and fruit quality [13]. Therefore, farmers are forced to decide to concentrate the limited water available on a smaller surface to get the highest possible yield per unit of area or to irrigate a larger surface with less water per unit of surface to increase the total production. Irrigation application below the crop ET requirements is called deficit irrigation [14]. Deficit irrigation studies normally generate production functions that can be applied to predict the yield based on different levels of irrigation depths or variable rates of water evapotranspirated by the crop (ETc) [15, 16]. The yield and quality of the crops also depend on other factors such as climate, the incidence of pests and diseases, and agronomic management. Therefore, the production functions only estimate the potential yields [17, 18].
The application of deficit irrigation in crop development is an approach to save water in areas of low availability and prolonged periods of drought during the crop growth cycle to obtain the highest water productivity. Regulated deficit irrigation may save a substantial volume of water with a low crop yield impact [19]. Under the hypothesis that controlled deficit irrigation has little effect on the growth and yield of sweet pepper, this study aimed to evaluate the impact of four levels of irrigation application on the fruit yield and quality of two sweet pepper cultivars.
2. MATERIALS AND METHODS
The work was carried out in the San Vicente sector, Maturín municipality, Monagas state, Venezuela, from January to June 2020. The location is 9° 44' 37” North, 63°15'59” West, and 51 meters above sea level (Fig. 1). The area's climate is Tropical Dry Forest type, characterized by a rainy season from May to December and a dry season from January to April. The average annual rainfall is 1 219.6 mm, the mean yearly temperature is 25.9 °C, potential evapotranspiration is 1 372 mm, and the annual evaporation rate is 1 573 mm [14].

| Property | Value | Method of Determination |
|---|---|---|
| Texture | Clay loam | Bouyoucos |
| pH | 4.7 | Potentiometer |
| Organic mater (%) | 3.37 | Walkley and Blank |
| CE (dS m-1) | 192.4 | Conductivity meter |
The soil of the study site is predominantly sandy loam, classified as ultisol (paleustults), which is an acid soil with a small cation exchange capacity and low content of organic matter [20] (Table 1).
Analysis carried out in the soil laboratory of the Universidad de Oriente, Monagas Nucleus, Los Guaritos Campus [20].
For the study, plants of the `Tres Filos` and `Pepón` cultivars for commercial sale were used; the plant's transplant was done on February 13, 2020, placing the seeds 0.30 m apart in small beds (0.40 m wide) separated 1 m. A randomized block experimental design was used with three repetitions arranged in divided plots, where the main plot consisted of four irrigation depths and the subplots of the two cultivars for a total of eight treatments and 24 experimental units. The irrigation depths applied corresponded to 60%, 80%, 100%, and 120% of the crop evapotranspiration (ETc).
The irrigation depth applied at each treatment was calculated with the following equation.

Where: depth_irrig is the irrigation depth applied (mm), ETc is the crop evapotranspiration (mm), and f is the percentage factor of the ETc for each treatment (60%, 80%, 100%, and 120%). The ETc was obtained from the pan evaporation (type A tank, US National Weather Service) and the crop coefficient (Kc) using the following relationship:

Where: Ev is the evaporation of the type A tank (mm), and Kp is the coefficient of the tank. For the conditions of wind speed and relative humidity in the study area, a value of 0.80 was considered. The Kc values for sweet pepper and drip irrigation [21] that were used in this study were: 0.40 for the initial stage, from 0.40 to 0.70 for the development stage (20 to 50 days), 1.05 for the flowering stage, fruit formation and filling (50-80 days), and from 0.80 to 0.90 for the ripening and harvest stage (80 to 120 days), the plants were watered every other day.
The larger or main study plot (irrigation treatments) consisted of four beds 0.40 m wide by 10 m long and 1 m between beds; for the smaller plot (the two sweet pepper cultivars), every bed was divided into two equal segments (5 m) where each cultivar was planted. The two central beds were used to evaluate the response variables statistically. The preparation of the land consisted of tree passes of the plow for weed control and loosening the soil to allow good growth of the plant’s roots, followed by the beds’ formation for the seeding of the seedlings. The irrigations were applied by dripping with emitters every 0.33 m and a flow of 1.0 L h-1.
The weed control was made manually and with herbatox (1.5 kg ha-1). (diuron) with pre-emergence action and paraquat (3 L ha-1) for post-emergent effect. Applications of VONDOZEB (Mancozeb) were made (1.5 kg ha-1) and CROPZIM 500 SC (Carbendacin) at a dose of 1 L ha-1. were made to prevent fungal diseases. For insect control, such as the fruit borer (Neoleucinodes elegantalis), white fly (Bemisia tabaci), Aphids (Myzus persicae), among others, applications of Mercamil S (methomyl) were made at a dose of 1.5 L ha-1.
Plant fertilization was applied by fertigation with the formula 27.5-49-00 at each irrigation during the first 30 days and the formula 28-14-30 during the rest of the crop cycle. The amount of fertilizer applied was in the range of 200-500 g day-1. The necessary adjustments were made in the fertigation system to maintain the same application rate per plant, regardless of the different volumes of water used in each irrigation treatment.
The fruits of each experimental unit were harvested to obtain the length of the fruit (cm), pulp thickness (mm), fruit diameter (cm), and number and weight of fruits per plant. The analysis of variance was performed using the GLM Proc (general linear models) SAS version 9.0 (SAS Institute, Inc., Cary, N.C.); for the multiple comparisons of treatment means, the Tukey test (α ≤ 0.05) was used.
3. RESULTS
3.1. Fruit Quality
Fruit quality parameters, such as the length and diameter of the fruit, as well as the thickness of the pulp (endodermis), depend on both the cultivar and the level of irrigation applied (Table 2). The ANOVA of the main factors shows that for the Irrigation factor, the length and the diameter of the fruit and the thickness of the endodermis of the two cultivars are progressively reduced as the irrigation decreases from 120%, 100%, 80%, and 60% of ETc (Table 2) (Tukey, α ≤ 0.05).
Table 2.
| - | Fruit Length | Fruit Diameter | Endodermis Thickness |
|---|---|---|---|
| - | (cm) | (cm) | (mm) |
| Depth of irrigation | Factor (A) |
- | - |
| 120% of ETc | 3.39 a | 3.05 a | 2.18 a |
| 100% of ETc | 3.31 b | 2.90 b | 2.13 b |
| 80% of ETc | 3.14 c | 2.77 c | 2.07 c |
| 60% of ETc | 2.80 d | 2.53 d | 1.98 d |
| p-value | 0.0001 | 0.0001 | 0.0001 |
| Cultivars | Factor (B) |
- | - |
| Tres Filo | 3.48 a | 2.63 b | 2.08 b |
| Pepón | 2.84 b | 2.99 a | 2.10 a |
| p-value | 0.0001 | 0.0001 | 0.041 |
| - | Interaction (AxB) |
- | - |
| p-value | 0.0001 | 0.018 | 0.0012 |
| CV (%) | 1.2829 | 1.4839 | 0.586 |
The drop of these parameters when irrigation lowers from 120% to 60% of the ETc is 21.07%, 20.55%, and 10.10% of the fruit length, fruit diameter, and endodermis thickness, respectively; these declines are much less than 60% of water savings by reducing irrigation from 120% to 60% of the ETc; therefore, for conditions of low water availability, irrigation at 60% of the ETc is recommended for the fruit quality parameters of both cultivars. For the cultivars factor, the diameter of the fruit and the thickness of the endodermis is greater in the cultivar Pepón (13.69% and 0.96%, respectively) in the different irrigation treatments. But, the length of the fruit is greater in cv Tres Filo (22.53%) (Table 2). The cultivar to be recommended will depend on which fruit quality is more demanded by the market.
The interaction between irrigation levels and cultivars in fruit length, fruit diameter, and pulp thickness was statistically significant (Tukey, α ≤ 0.05) (Table 2), indicating that the variables evaluated depend on both the cultivar and the irrigation level.
Different letter for vertical comparisons indicates statistical differences (Tukey, α ≤ 0.05).
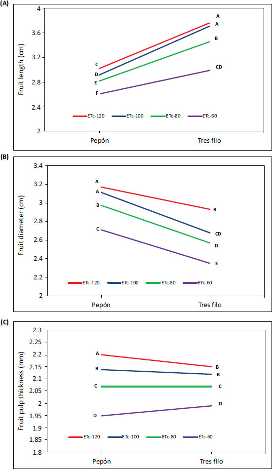
For cv, Pepón the length of the fruit decreased proportionally (Fig. 2A) (Tukey, α ≤ 0.05) as the level of irrigation decreased from 120% to 60% of ETc, while, in the cv `Tres Filo`, the length of the fruit was the same at the irrigation level of 120% and 100%, and decreased proportionally from the irrigation level of 80% to 60% of ETc. The fruit diameter of the cv Pepón was the same for the irrigation levels of 120% and 100% of ETc and decreased proportionally from the irrigation level of 80% to 60% (Fig. 2B) (Tukey, α ≤ 0.05); while, for the Tres Filo cultivar, the diameter of the fruit was the higher at the irrigation level of 120% of ETc, the same at 100%and 80% of ETc and the smaller at 60% of ETc. The thickness of the pulp in the cv Tres Filo was the same for the irrigation level of 120% and 100% of ETc and decreased progressively from the irrigation level of 80% to 60% of ETc (Fig. 2C) (Tukey, α ≤ 0.05). But, for the cv Pepón, the thickness of the pulp decreased proportionally as the irrigation level diminished from 120% to 60% of ETc.
3.2. Fruit Yield
Yield parameters such as number of fruits per plant, average fruit weight, and fruit yield per plant depend on the cultivar and the level of irrigation applied (Table 3). The ANOVA (analysis of variance) of the main factors indicates that for the irrigation treatment factor, the number of fruits per plant for the two cultivars is statistically equal when irrigation is applied at 120%, 100%, and 80% of the crop evapotranspiration (ETc) and greater than the one obtained at the irrigation level of 60% of ETc (Table 3) (Tukey, α ≤ 0.05). The greatest weight of the fruit of both cultivars is obtained when irrigation is applied at 120 and 100% of the ETc. The application of irrigation at 100% and 80% of ETc produces the same weight of the fruit of both cultivars and is greater than the irrigation applied at 60% of ETc. (Table 3) (Tukey, α ≤ 0.05). The fruit yield (g plant-1) is statistically the same with the irrigations at 120% and 100% of ETc and higher than the application at 80 and 60% of ETc; irrigation at 60% of ETc gives the lowest yield of both cultivars.
Different letters for vertical comparisons indicate statistical differences according to Tukey's test (P≤0.05).
The interaction between irrigation levels and cultivars was only statistically significant for the fruit weight variable (Table 3) (Tukey, α ≤ 0.05). Fig. (3) shows that the highest fruit weight was of the `Pepón` cultivar at the e maximum irrigation levels of 120% and 100% of the ETc (no statistical differences). While the lowest levels of weight were obtained in both cultivars with the minimum irrigation value of 60% of ETc (Fig. 3).

| - | Fruits/Plant | Fruit Weight | Fruit Yield |
|---|---|---|---|
| - | - | (g) | (g plant-1) |
| Depth of irrigation | Factot (A) |
- | - |
| 120 ETc | 28.52 a | 11.81 a | 336.82 a |
| 100 ETc | 28.95 a | 11.72 ab | 339.29 a |
| 80 ETc | 28.50 a | 11.61 b | 330.89 b |
| 60 ETc | 27.78 b | 10.91 c | 303.08 c |
| p-valuer | 0.0009 | 0.0001 | 0.0001 |
| Cultivars | Factor (B) |
- | - |
| Tres Filo | 28.72 a | 11.44 b | 328.56 a |
| Pepón | 28.16 b | 11.59 a | 326.37 b |
| p-value | 0.0017 | 0.0007 | 0.0001 |
| - | Interaction (AxB) |
- | - |
| p-value | 0.2727 | 0.0416 | 0.1939 |
| CV (%) | 1.0377 | 0.5929 | 0.048 |

4. DISCUSSION
A crop's growth, development, and yield depend on several factors, such as its genetic composition, prevailing environmental conditions, soil fertility, cultural practices, and the ability of a particular crop or variety to resist any stress. In the present work, the crop yield and fruit quality varied among the pepper cultivars studied and showed significant differences due to water stress. These variations may be due to differences in the cultivar's genetic composition, the effect of the water stress, and the interaction with the climatic conditions in the study area.
The cv Pepón had the lower length of fruits at the different irrigation depths and was more susceptible to water deficit since the length of fruit decreased proportionally as the irrigation level diminished progressively from 120% to 60% of the ETc (Fig. 2A) (Tukey, α ≤ 0.05). In contrast, for the Tres Filos cv, the reduction of the irrigation level from 120% to 100% of ETc did not affect the fruit length (Fig. 2A) (Tukey, α ≤ 0.05). The fruit diameter was higher and statistically equal at 120% and 100% of the ETc in the Pepón cv (Fig. 2B) (Tukey, α ≤ 0.05). The Tres Filos cv had a lower fruit diameter and more sensibility to water deficit since the fruit diameter decreased from 120% to 100% of the ETc (Fig. 2B) (Tukey, α ≤ 0.05). The highest endodermis thickness was for the Pepón cv at the irrigation level of 120% of ETc but was more sensible to water deficit since the reduction of the endodermis thickness was proportional to the decrease of the irrigation level from 120% to 60% of ETc (Fig. 2C) (Tukey, α ≤ 0.05); the Tres Filos cv was less sensible to water deficit because lowering the irrigation depth from 120% to 100% of the ETc had no effect in the endodermis thickness (Fig. 2C) (Tukey, α ≤ 0.05).
Previous studies by Xu and Leskovar [22] and Gil-Marín et al. [14] have shown that the yield and quality parameters are unaffected when the irrigation depth applied is 20% below 100% of the ETc. The average fruit length of the sweet pepper cv Peru 92 was 5.43 cm, regardless of the soil cover and irrigation depth applied. This value is higher than the fruit length obtained in the two cv of this study; the difference is probably due to variations in crop management, seeding time, and the genetic characteristics among the evaluated cultivars [1].
A study by Gil-Marín et al. [1] in the sweet pepper cultivars Peru 92 and Diamond found that the average fruit diameter was 3.18 cm for an irrigation depth of 100% of the ETc; this result is like the fruit diameter of the cultivars evaluated in this study. The endodermis thickness of the sweet pepper cv Diamond was 2.56 mm under the irrigation depth of 80% of ETc, but, for the cv Peru 92 under de irrigation depth of 100% of ETc, the endodermis thickness was 1.92 mm; this is a lower value than the results observed in this study, probably due to differences in crop management, the cultivars properties, and the date of the planting season [1].
Celebi [23] working with Capsicum annum L. cv. Capyavar also reported that the length, diameter, and wall thickness of the fruit were higher for the irrigation depth of 100% of ETc compared with lower irrigation depths. Similar results were also reported by Al-Harbi et al. [24] in the sweet chili cultivar 'the Sonar' and Sezen et al. [25] in plants of Capsicum annuum (cv. Karaisalı). However, León Mejía et al. [26] reported no difference in the fruit diameter and the endodermis thickness of the Capsicum annum L. hybrid Quetzal for irrigation depths from 80% to 120% of ETc.
The negative impacts of any stress are evident in the quality parameters of the fruit. The effect in the fruit quality parameters of the cultivars evaluated in this study, due to the increase of water stress, is probably due to a decrease of gas exchange by a partial closure of the stomatal that limited the photosynthesis rate causing a drop in biomass production [27]. The results of the present study can be confirmed by previous studies in other vegetable cultivars [28, 29] that reported that water stress negatively affected fruit quality.
For conditions where water is the limiting factor for crop growth, the volume of water applied in irrigation should be reduced without considerably affecting the crop yield to increase the surface for irrigation. The application of irrigation at 60% of the ETc represents a saving of 40% of the volume of water compared to the application at 100% of ETc. The reduction in the number of fruits per plant, fruit weight and average fruit yield (g plant-1) of both cultivars was only 4.21%, 7.47%, and 11.95%, respectively. Therefore, if the limiting factor for agricultural production is water availability, it is advisable to irrigate at 60% of the ETc and increase the surface for irrigation to raise total production. For the cultivars factor, the number of fruits per plant and the fruit yield (g plant-1) in the different irrigation treatments was higher in the cv Tres Filo, but the weight of the fruit was higher in the cv Pepón; therefore, for conditions of water resource limitations, the Tres Filo cultivar is more recommendable.
The results of this work are like the reports of previous studies, indicating a lower number of flowers and fruits of eggplants (Solanum melongena L.) and bottle gourd (Lagenaria siceraria) subjected to drought stress compared to plants with normal irrigation during their growth cycle [30, 31]. The average number of fruits per plant under the irrigation level of 60% of ETc of both cultivars observed in this study was 27.78, a value that is higher than the one reported by Jaimez [32] for the cv Pepón (20 fruits plant-1) under different temperature and radiation conditions. Gil-Marín et al. [1] reported 25.16 fruits plant-1 of the Diamond cv under the same irrigation level of 60% of ETc.
Yildirim and Korukcu [33], Abd El-Aal et al. [34] and Ozbahce and Tari [35] also fund that the fruit weight decreases as the level of irrigation applied is reduced in horticultural crops such as eggplant and tomato. Serhat [36] also in eggplants reported that the lowest average weight of the fruit was obtained with an irrigation level of 70% of ETc. Another study by Díaz-Pérez and Eaton [37] indicated that the lowest yield and fruit weight values for eggplant were reached with the irrigation level of 33% of ETc. The yield differences for irrigation levels above this level were small. For the same eggplant, reductions between 18.16% and 27.13% in fruit yield under low and moderate water stress were reported by Demirel et al. [38].
The study of Serna-Perez and Zegbe [39] found a small difference in the fruit yield of the sweet pepper cv Mirasol when the irrigation depth decreased from 100% of the ETc to 85% and 40% of the ETc. Similarly, Diaz-Perez and HooK [40] also reported a small fruit yield difference of bell pepper plants (cv Camelot and Stiletto) under drip irrigation and black plastic mulch for an irrigation deficit from 100% to 67% and 50% of the ETc. However, the study of Abdelkhalik et al. [41] showed that the fruit yield of sweet pepper hybrid ‘Estrada F1’ under Mediterranean field conditions decreases considerably when the irrigation is reduced from 100% of the water requirements to 50%, but substantial water savings are obtained compared to full irrigation.
The negative effect of irrigation deficit on fruit quality and yield was demonstrated by Colak et al. [42] in eggplant and Pervez et al. [43] in tomatoes. However, in this study, a deficit irrigation of 60% does not significantly affect the variables of fruit quality and yield of the sweet pepper of the cv Pepón and Tres Filos.
While climatic conditions were somewhat identical in the experimental station over the years, the findings of one growing season were included in the present study.
CONCLUSION
The application of irrigation at 60% of the ETc represents a saving of 40% of the volume of water compared to the application at 100% of ETc. The reduction in the number of fruits per plant, fruit weight, and average fruit yield of both cultivars was only 4.21%, 7.47%, and 11.95%, respectively. Therefore, if the limiting factor for agricultural production is water availability, it is advisable to irrigate at 60% of the ETc and increase the surface for irrigation to increase total production. For the cultivars factor, the number of fruits per plant and the fruit yield in the different irrigation treatments were higher in the cv Tres Filo. Therefore, for conditions of low availability of water resources, the Tres Filo cultivar is more recommendable.
CONSENT FOR PUBLICATION
Not applicable.
AVAILABILITY OF DATA AND MATERIALS
The data supporting the findings of this study are available within the article.
FUNDING
None.
CONFLICT OF INTEREST
The authors declare no conflict of interest, financial or otherwise.
ACKNOWLEDGEMENTS
One of the authors thank the International Institute of Education IIE Scholar Rescue Fund of New York for all the support to conduct this study.

